Evaluation of Eustachian tube function in Behçet᾿s disease: A case-control study
Murat Yaşar1
, Fatma Atalay1
, Abdulvahap Kahveci2
, Zeynep Yavuz3
1Department of Otorhinolaryngology, Kastamonu University Faculty of Medicine, Kastamonu, Türkiye
2Rheumatology Clinic, Kastamonu Training and Research Hospital, Kastamonu, Türkiye
3Department of Biostatistics, Hitit University Faculty of Medicine, Çorum, Türkiye
Keywords: Behçet’s disease, ETDQ-7 questionnaire, Eustachian tube function test, Eustachian tube.
Abstract
Objectives: The purpose of this study was to evaluate Eustachian tube function in patients with Behçet’s disease (BD).
Patients and methods: Forty-six patients (22 males, 24 females; mean age: 42.1±11.3 years; range, 19 to 64 years) with BD and 46 (21 males, 25 females; mean age: 38.5±14.8 years; range, 19 to 63 years) age- and sex-matched audiologically healthy individuals were enrolled in this cross-sectional, case-control study between June 2023 and August 2023. Demographic and clinical characteristics of participants were recorded from electronic health records. All participants completed the Eustachian tube function test and the Eustachian tube dysfunction questionnaire 7 (ETDQ-7). Binary logistic regression analysis was employed to identify the factors that predict Eustachian tube dysfunction in patients with BD. Additionally, the association between disease duration and ETDQ-7 scores was evaluated using Spearman’s rank correlation.
Results: The median ETDQ-7 scores were significantly higher in patients with BD than in controls (10 (7-32) vs. 7 (7-9); p<0.001). The number of ears with Eustachian tube dysfunction was also significantly higher in the BD group than in the controls (n=22, 47.8% vs. n=7, 15.2%; p=0.007). Regression analysis did not reveal statistically significant factors that predicted Eustachian tube dysfunction. Moreover, no statistically significant correlation was observed between Eustachian tube dysfunction and disease duration (R=–0.067; p=0.525).
Conclusion: This study showed that Eustachian tube dysfunction is more prevalent in patients with BD than in the healthy controls. However, clinical and demographic variables were not found to be associated with Eustachian tube dysfunction.
Introduction
Behçet’s disease (BD) is a multisystemic vasculitis first described in 1937 by Dr. Hulusi Behçet and is characterized by recurrent oral and genital mucosal ulcers and uveitis.[1] The etiology is unknown, although it is a genetically based autoimmune inflammatory disease.[2] It affects both sexes equally.[2,3] Regarding the International Study Group (ISG) criteria, classification of BD relies on recurrent oral ulcers, together with at least two of pathergy test positivity, ocular lesions, genital ulcers, and cutaneous lesions.[4] BD also affects the pulmonary, gastrointestinal, central nervous, and cardiovascular systems.[1-3]
The Eustachian tube is an important pneumatic component of the head and neck region.[5] Its essential functions are the ventilation of the middle ear and the provision of pressure balance, protecting the middle ear from pathogens and sounds, and providing mucus clearance.[6] Eustachian tube dysfunction can be observed in 1% of adults and 40% of children.[7] Smoking and inflammatory states, such as chronic rhinosinusitis, allergic rhinitis, and laryngopharyngeal reflux are thought to contribute to the development of obstructivetype tube dysfunction.[8] Vasculitides are similarly known to be capable of causing inflammation in the Eustachian tube mucosa.[9] In BD, a panvasculitis, otorhinolaryngological manifestations include symptoms and signs in the mouth, nose, sinus, larynx, and ear.[10] Therefore, it is recommended that the ear, nose, and throat be periodically examined in patients with BD.[11]
Behçet's disease has been reported to cause audiologic involvement, including sensorineural hearing loss and vestibular dysfunction,[12-14] as well as impaired sense of smell and recurrent rhinosinusitis due to nasal involvement.[15-18] These pathologies may also lead to a possible dysfunction of the Eustachian tube.
To the best of our knowledge, the effect of BD on Eustachian tube functions has not been studied in the literature. Based on a review of the literature, this study hypothesized that microvasculitic involvement of the Eustachian tube, a structure with mucosal tissue, may occur in BD. Therefore, the purpose of this study was to evaluate Eustachian tube function in adult patients diagnosed with BD using the Eustachian tube function test and Eustachian tube dysfunction questionnaire 7 (ETDQ-7).
Patients and Methods
Forty-six patients with BD who were followed up in the rheumatology clinic of the Kastamonu Training and Research Hospital met the ISG criteria[4] and 46 age- and sex-matched audiologically healthy individuals (a total of 184 ears) were included in this cross-sectional, case-control study between June 2023 and August 2023. The ISG criteria for BD comprise five categories: oral aphthae, genital ulcers, ocular involvement, skin involvement, and a positive pathergy test.[4] BD is diagnosed when an individual presents with at least two of these clinical findings in addition to oral aphthae.[4] Participants were excluded from the study if they had outer or middle ear disease, a history of otologic surgery, were using ototoxic medications, or were younger than 18 or older than 65 years of age. Furthermore, participants with other pathology-causing Eustachian tube dysfunction (e.g., deviated septum, nasal polyps, sinusitis, and nasopharyngeal lesions) were excluded from the study. A written informed consent was obtained from each patient. The study protocol was approved by the Kastamonu University Clinical Research Ethics Committee (date: 17.05.2023, no: 2023-KAEK-57). The study was conducted in accordance with the principles of the Declaration of Helsinki.
The demographic and clinical characteristics of patients with BD were recorded from electronic health records. The demographic data of patients with BD include information on patient age, sex, disease duration, smoking, and comorbidities, such as diabetes mellitus. In addition, clinical manifestations of BD were recorded, including oral aphthae, genital ulcers, papulopustular lesions, erythema nodosum, pathergy test positivity, ocular involvement, musculoskeletal involvement, intestinal involvement, neurological involvement, and vascular involvement.
After the ear, nose, and throat examinations, Eustachian tube function tests and the ETDQ-7 were performed for the evaluation of Eustachian tube functions. The Eustachian tube function test involved taking a tympanogram graph at 0 daPa pressure (P1), followed by two more tympanogram graphs during the Valsalva maneuver (P2) and the Toynbee maneuver (P3). The test recorded the peak pressure of the three tympanograms, as well as the P1-P2 and P1-P3 pressure differences, and the maximum pressure change (Pmax). Eustachian tube dysfunction is defined as a P1-P2 pressure difference exceeding 10 daPa or a Pmax exceeding 15 daPa.[19] The measurements were conducted using a 226 Hz acoustic immittance meter (AT 235 H; Interacoustics, Middelfart, Denmark).
The ETDQ-7 is a 7-point Likert scale used to assess the presence and severity of Eustachian tube dysfunction in adults over 18 years of age. Patients were asked to report if they had experienced pressure, pain, a feeling of congestion in their ears, muffled hearing, sinusitis, increased ear symptoms during colds, or crackling and ringing in the ears in the previous month. A score of 1 indicated no problem, while a score of 7 indicated a severe problem. The possible scores ranged from 7 to 49, with higher scores indicating greater severity.[20]
Statistical analysis
The sample size of each group was calculated as 46 in line with the Cohen test (effect size=0.3) by G*power version 3.1.9.4 (Heinrich-HeineUniversität Düsseldorf, Düsseldorf, Germany), with a power of 80% and a two-sided significance level of 0.05.[21]
Statistical analyses were performed using IBM SPSS version 22.0 software (IBM Corp., Armonk, NY, USA) and RStudio version 2022.02.1+461 software. Descriptive statistics for the numerical variables were presented as mean ± standard deviation (SD) for normally distributed variables and as median values (min–max). Categorical variables were presented as frequency (percentage) values. The normality assumption was assessed using the Kolmogorov-Smirnov test and graphical methods. Comparisons between the controls and patients with BD were performed using Pearson’s chi-square test for categorical variables and the independent sample t-test or the Mann-Whitney U test for numerical variables. The correlation between disease duration and ETDQ-7 scores was evaluated using Spearman’s rank correlation coefficient. To account for intrapatient dependency (each patient as a cluster and ear unit), Eustachian tube dysfunction was compared between the controls and patients with BD using the adjusted chi-square approach. The relationship between Eustachian tube dysfunction and different covariates in patients with BD was assessed using binary logistic regression analysis. The package’s “aod” (function “donner”) and “ggplot2” were used.[22] A p-value <0.05 was considered statistically significant.
Results
There 21 male and 25 female participants among controls, and there were 22 male and 24 female participants among patients with BD. The mean ages were 38.5±14.8 years (range, 19 to 63 years) for the controls and 42.1±11.3 years (range, 19 to 64 years) for the patients with BD. There was no statistically significant difference between the groups in terms of age and sex (p=0.190 and p=1.000, respectively; Table 1). The median ETDQ-7 score of patients with BD was significantly higher than that of controls (10 (7-32) vs. 7 (7-9), p<0.001). The other clinical characteristics of patients with BD are shown in Table 1.
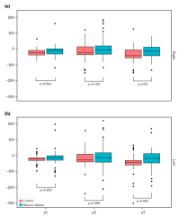
According to the results of the Eustachian tube function test, P3 values of patients with BD were statistically higher than controls on both sides (p=0.031 and p=0.020 for right and left sides, respectively). However, there was no statistically significant difference between P1 and P2 values between the groups (Table 2, Figure 1). In addition, we found that patients with BD (n=22, 47.8%) had a significantly higher number of ears with Eustachian tube dysfunction compared to the control group (n=7, 15.2%; p=0.007).
Binary regression analysis was conducted to assess the factors influencing Eustachian tube dysfunction in the BD group. The analysis revealed no statistically significant relationships between Eustachian tube dysfunction and any of the covariates (Table 3). Furthermore, in the Spearman correlation analysis, we found no statistically significant correlation between disease duration in patients with BD and their ETDQ-7 scores (rho=–0.067, p=0.525; Figure 2).
Discussion
The study demonstrated a higher prevalence of Eustachian tube dysfunction in patients with BD than in healthy controls. Furthermore, there was no association between Eustachian tube dysfunction and the clinical manifestations or demographic characteristics of the patients.
Behçet’s disease is a multisystemic vasculitis that affects several different systems.[1] Oral and oropharyngeal ulcers were most frequently observed in a previous study investigating ear, nose, and throat symptoms in patients with BD, followed by audiovestibular symptoms, such as high-frequency sensorineural hearing loss, bilateral vestibular hypofunction, and vertigo.[12-14] BD also affects the nasal mucosa. A previous study investigating the effects of BD on smell function, nasal mucosa, and nasal symptoms reported an association between smell perception function disorder and BD.[18] In addition, worsening of smell perception function disorder and correlation between disease duration and dysfunction severity are known to occur in neuro-BD, particularly in the presence of parenchymal involvement.[15] A study investigating the frequency of chronic rhinosinusitis in patients with BD reported a greater frequency in such patients than in healthy controls.[17] The fact that inflammatory conditions, such as chronic rhinosinusitis, also contribute to the development of obstructive-type Eustachian disorder has led to the need to investigate Eustachian tube functions in patients with BD.[8] In our study, both Eustachian tube function test results and ETDQ-7 scores were significantly higher in patients with BD than in controls.
Another study of nasal involvement reported ulcers in the nasal mucosa, nasal obstruction, epistaxis, pain, a burning sensation, itching, and dysosmia in patients with BD, although the difference was not statistically significant.[16] Due to most BD clinical symptoms resolve spontaneously, the prevalence of nasal involvement was thought to be underestimated.[16] In another study, nasal mucociliary clearance times were longer in patients with BD than in control subjects and were positively correlated with the duration of the disease.[23] The authors also emphasized that these patients should be closely monitored for prolonged respiratory diseases and sinonasal and middle ear infections.[23] These data suggest the need for an examination of Eustachian tube functions in patients with BD. Within this context, the frequency of Eustachian tube dysfunction was higher in our patients with BD. None of the factors that could influence Eustachian tube function, including duration of disease, smoking, diabetes mellitus, medications, and BD’s clinical features, were significant in the regression analysis. However, the presence of oral aphthae in all patients and neuroparenchyma involvement in only two patients prevented the evaluation of their effect on Eustachian tube dysfunction.
Behçet’s disease is a genetically based autoimmune vasculitis.[1] Several systemic autoimmune diseases result in ear, nose, and throat symptoms that create diagnostic difficulties for clinicians and can be overlooked.[24] Otological symptoms are frequently observed in vasculitis and can even be the initial presentation symptom.[25] Recent studies have focused on hearing loss and vestibular symptoms in systemic vasculitides.[25] Hearing losses are generally sensorineural, although conductive and mixedtype losses can also be observed.[9] Autoimmune diseases are thought to cause conductive hearing loss due to effusion in the middle ear, inflammation in the Eustachian tube mucosa, and ossicular chain involvement.[9] Although several studies have investigated sinonasal and audiological involvement in BD,[9,24,25] its impact on the Eustachian tube and middle ear functions has not been previously established. To the best of our knowledge, this study is the first to examine Eustachian tube functions in patients with BD.
This study has some limitations. The objective detection of clinical nasal involvement in BD was not possible, which prevented the evaluation of its effect on Eustachian tube function. Additionally, the small number of patients with neuroparenchyma involvement limited the ability to perform subgroup comparisons and variable analyses. However, this study is noteworthy for being the first to compare Eustachian tube dysfunction in patients with BD and for testing factors (clinical involvement, medications, and comorbidities) that may have an impact on Eustachian tube dysfunction.
In conclusion, this study indicates that Eustachian tube dysfunction is more prevalent in patients with BD than in healthy controls. However, no association was found between Eustachian tube dysfunction and clinical or demographic variables. More detailed studies are required to clarify the mechanism involved in Eustachian tube dysfunction in BD.
Citation: Yaşar M, Atalay F, Kahveci A, Yavuz Z. Evaluation of Eustachian tube function in Behçet’s disease: A case-control study. Arch Rheumatol 2024;39(4):558-565. doi: 10.46497/ ArchRheumatol.2024.10801.
Conceptualization, formal analysis, methodology, writing-review and editing: M.Y., F.A., A.K., Z.Y.; Investigation: M.Y., F.A., A.K.; Supervision: F.A., A.K., Z.Y.; Writing-original draft: M.Y., F.A.
The authors declared no conflicts of interest with respect to the authorship and/or publication of this article.
The authors received no financial support for the research and/or authorship of this article.
The data that support the findings of this study are available from the corresponding author upon reasonable request.
References
- Hatemi G, Seyahi E, Fresko I, Talarico R, Uçar D, Hamuryudan V. Behçet's syndrome: One year in review 2022. Clin Exp Rheumatol 2022;40:1461-71. doi: 10.55563/clinexprheumatol/h4dkrs. DOI: 10.55563/clinexprheumatol/h4dkrs
- Emmi G, Bettiol A, Hatemi G, Prisco D. Behçet's syndrome. Lancet 2024;403:1093-1108. doi: 10.1016/S0140-6736(23)02629-6. DOI: 10.1016/S0140-6736(23)02629-6
- Hatemi G, Seyahi E, Fresko I, Talarico R, Uçar D, Hamuryudan V. Behçet's syndrome: One year in review 2023. Clin Exp Rheumatol 2023;41:1945-54. doi: 10.55563/clinexprheumatol/7kdo9x. DOI: 10.55563/clinexprheumatol/7kdo9x
- Criteria for diagnosis of Behçet's disease. International study group for Behçet's disease. Lancet 1990;335:1078-80. DOI: 10.1016/0140-6736(90)92643-V
- Bal R, Deshmukh P. Management of Eustachian tube dysfunction: A review. Cureus 2022;14:e31432. doi: 10.7759/cureus.31432. DOI: 10.7759/cureus.31432
- Ma Y, Liang M, Tian P, Liu X, Dang H, Chen Q, et al. Eustachian tube dysfunction in patients with house dust mite-allergic rhinitis. Clin Transl Allergy 2020;10:30. doi: 10.1186/s13601-020-00328-9. DOI: 10.1186/s13601-020-00328-9
- Ikeda R, Kikuchi T, Miyazaki H, Hidaka H, Kawase T, Katori Y, et al. The efficacy of the Eustachian Tube Dysfunction Questionnaire (ETDQ-7) for patulous Eustachian tube patient. Acta Otolaryngol 2018;138:6-9. doi: 10.1080/00016489.2017.1366053. DOI: 10.1080/00016489.2017.1366053
- Brunworth JD, Mahboubi H, Garg R, Johnson B, Brandon B, Djalilian HR. Nasopharyngeal acid reflux and Eustachian tube dysfunction in adults. Ann Otol Rhinol Laryngol 2014;123:415-9. doi: 10.1177/0003489414526689. DOI: 10.1177/0003489414526689
- Rahne T, Plontke S, Keyßer G. Vasculitis and the ear: A literature review. Curr Opin Rheumatol 2020;32:47- 52. doi: 10.1097/BOR.0000000000000665. DOI: 10.1097/BOR.0000000000000665
- Webb CJ, Moots RJ, Swift AC. Ear, nose and throat manifestations of Behçet's disease: A review. J Laryngol Otol 2008;122:1279-83. doi: 10.1017/ S0022215108002703. DOI: 10.1017/S0022215108002703
- Cinar S, Cinar F, Kiran S. Is there a need for audiologic evaluation in patients with Behçet disease? Ear Nose Throat J 2012;91:E15-9. doi: 10.1177/014556131209100316. DOI: 10.1177/014556131209100316
- Kemal O, Anadolu Y, Boyvat A, Tatarağası A. Behçet disease as a cause of hearing loss: A prospective, placebo-controlled study of 29 patients. Ear Nose Throat J 2013;92:112-20. doi: 10.1177/014556131309200309. DOI: 10.1177/014556131309200309
- Kulahli I, Balci K, Koseoglu E, Yuce I, Cagli S, Senturk M. Audio-vestibular disturbances in Behcet's patients: Report of 62 cases. Hear Res 2005;203:28- 31. doi: 10.1016/j.heares.2004.11.020. DOI: 10.1016/j.heares.2004.11.020
- Morales-Angulo C, Vergara Pastrana S, Obeso-Agüera S, Acle L, González-Gay MÁ. Otorhinolaryngological manifestations in patients with Behçet disease. Acta Otorrinolaringol Esp 2014;65:15-21. doi: 10.1016/j. otorri.2013.06.007. DOI: 10.1016/j.otoeng.2014.02.010
- Doğan R, Ertaş B, Özücer B, Birday E, Özturan O, Veyseller B. Olfactory dysfunction associated with Neuro-Behçet disease. J Craniofac Surg 2017;28:e707- 10. doi: 10.1097/SCS.0000000000003928. DOI: 10.1097/SCS.0000000000003928
- Shahram F, Zarandy MM, Ibrahim A, Ziaie N, Saidi M, Nabaei B, et al. Nasal mucosal involvement in Behçet disease: A study of its incidence and characteristics in 400 patients. Ear Nose Throat J 2010;89:30-3. DOI: 10.1177/014556131008900109
- Verim A, Cebeci F, Başer E, Çalim ÖF, Kadioğlu D, Kocagöz GD. Prevalence of chronic rhinosinusitis in the setting of Behçet disease. J Craniofac Surg 2015;26:186-90. doi: 10.1097/ SCS.0000000000001202. DOI: 10.1097/SCS.0000000000001202
- Veyseller B, Doğan R, Ozücer B, Aksoy F, Meriç A, Su O, et al. Olfactory function and nasal manifestations of Behçet's disease. Auris Nasus Larynx 2014;41:185- 9. doi: 10.1016/j.anl.2013.07.014. DOI: 10.1016/j.anl.2013.07.014
- Smith ME, Bance ML, Tysome JR. Advances in Eustachian tube function testing. World J Otorhinolaryngol Head Neck Surg 2019;5:131-6. doi: 10.1016/j.wjorl.2019.08.002. DOI: 10.1016/j.wjorl.2019.08.002
- Özgür E, Bilgen C, Cengiz Özyurt B. Turkish validity and reliability of Eustachian tube dysfunction questionnaire-7. Braz J Otorhinolaryngol 2018;84:435-40. doi: 10.1016/j.bjorl.2017.05.001. DOI: 10.1016/j.bjorl.2017.05.001
- Faul F, Erdfelder E, Lang AG, Buchner A. G*Power 3: A flexible statistical power analysis program for the social, behavioral, and biomedical sciences. Behav Res Methods 2007;39:175-91. doi: 10.3758/bf03193146. DOI: 10.3758/BF03193146
- Lesnoff M, Lancelot R. aod: Analysis of overdispersed data. R package version; 2012. DOI: 10.32614/CRAN.package.aods3
- Ozbay I, Kucur C, Temizturk F, Ozkan Y, Kahraman C, Oghan F. Assessment of nasal mucociliary activity in patients with Behçet's disease. J Laryngol Otol 2016;130:348-51. doi: 10.1017/ S0022215116000207. DOI: 10.1017/S0022215116000207
- Papadimitraki ED, Kyrmizakis DE, Kritikos I, Boumpas DT. Ear-nose-throat manifestations of autoimmune rheumatic diseases. Clin Exp Rheumatol 2004;22:485-94.
- Rahne T, Clauß F, Plontke SK, Keyßer G. Prevalence of hearing impairment in patients with rheumatoid arthritis, granulomatosis with polyangiitis (GPA, Wegener's granulomatosis), or systemic lupus erythematosus. Clin Rheumatol 2017;36:1501-10. doi: 10.1007/s10067-017-3651-4. DOI: 10.1007/s10067-017-3651-4